Abstract:
With the swift and violent development of the construct of GuangDong power grid ,the special power fibre optic cable ,which has been layed by the existing circuitry built on stilts and electric power and high-pressure pipeline , gets comprehensive application in the power communication system.. ADSS gets users’ welcome for its excellence. But at home and abroad the applications of ADSS is not consummate ,some problems still exist such as the anti-electricity eroding performance of the jacket, the design way of the circuitry-spanning,the laying way and the collocating way the golden utensil。So it’s very important to grasp and properly use ADSS cable application technology, then we can exert the optimal performance of ADSS furthest and make sure that chronically the cables run safely and reliably. This thesis discuss the study on the anti-electricity eroding application technologies of the special power fibre optic cable.
Key word: ADSS, electricity erode, power communication.
摘要:隨著廣東電網建設的迅猛發展,利用現有的架空輸電線路和電力高壓管道敷設電力特殊光纜在電力通信系統中得到了廣泛的應用。由于ADSS光纜在電力通信系統應用中的獨特優點,目前仍受到用戶的一致歡迎,但是就國內、外ADSS光纜應用的相關技術來看,還尚未完善,在護套耐電腐蝕、線路架設設計、敷設方法、金具配用等方面都還存在一定的問題。因此,掌握和合理運用ADSS光纜應用技術,在用好、用活、用巧、用省光纜,如何最大程度地發揮ADSS光纜的最佳性能和確保光纜長期安全可靠運行等方面顯得格外重要。本文針對ADSS光纜抗電腐蝕的應用技術問題,結合廣東電網光纜的建設和實際運行情況展開研究討論。
關鍵詞 ADSS光纜 電腐蝕 電力通信
1 前言
在我國大面積推廣應用ADSS光纜的過程中,無論是進口還是國內生產的產品,在安裝和運行中出現了一些故障案例甚至發生了斷纜,不免令人擔憂并產生了困惑和疑慮。大部分的ADSS光纜用于老線路通信改造,安裝在原有的電力桿塔上。ADSS光纜對原有的電力桿塔是一種“添加物”,而原有的桿塔在設計時并不考慮有任何其他物體的添加。因此,ADSS光纜只能適應原有的桿塔條件,盡量去尋找有限的安裝空間。這些“空間”主要包括:桿塔強度、空間電位強度(與導線的間距和位置)和與地面或交越物的間距。一旦這些相互關系失配,ADSS光纜就容易出現各類故障,其中最主要的是電腐蝕故障。
2 電腐蝕原理和接地漏電流
2.1電腐蝕原理
ADSS光纜雖然為全介質結構,但是光纜處于鐵塔高壓導線附近,導線周圍空間存在電場,光纜對導線和地之間的電容耦合使光纜處于一個空間電位的位置。在污穢地區,天氣霧、露或下小雨時,潮濕的污穢在光纜表面形成一個電阻層。在空間電位的作用下,光纜表面對鐵塔上的光纜接地金具之間產生電流,稱為接地漏電流。此時,電流生熱造成水份蒸發,水份蒸發到一定程度在光纜表面形成小段的干燥帶,阻斷了電流。這干燥帶上承受了光纜表面對地的感應電壓,這個感應電壓值足夠高,超過空氣擊穿場強時,便發生放電形成電弧。這就是人們常說的干帶電弧。電弧放電,電流又產生,這樣反復來回發生。干帶電弧形成樹枝狀的碳化通道即電痕,可導致聚合物的破壞。干帶電弧產生的熱可以使交聯聚合物的結合力慢慢的失去形成腐蝕。如果電弧的熱量足夠,護套會熔成洞。這些過程稱為護套電腐蝕或電痕。其現象是新護套材料開始表面失去憎水性,接著表面出現樹枝狀的刻痕,隨后是材料破壞性的松弛和熔化過程。最終護套被腐蝕暴露出紡綸層,不等光纖露出,光纜在機械應力的作用下便發生斷裂。
2.2接地漏電流的計算方法
假設導線未直接接地,因此桿塔上導線是否接地對ADSS安裝位置的二維空間電勢計算影響甚微。當然ADSS金具認為是接地的,所以桿塔上ADSS的電壓為0。取:
(1) 空間(空氣)的介質常數:
ε= 8.8541×10-12(F/m)
(2) 參數:(見表1)
表1:導線與ADSS光纜的參數
|
種類 |
編號 |
X(m) |
Y(m) |
直徑:d(m) |
|
導線 |
1 |
0.00 |
0.88 |
44.39×10-3 |
|
ADSS |
2 |
0.00 |
0.75 |
17.40×10-3 |

用間接電容耦合法計算接地漏電流:
假設條件:1、ADSS光纜的縱向電阻Rdx與源頭處的電容C1dx為串聯關系;
2、ADSS光纜上的接地漏電流I1,與源頭電容C1傳向ADSS光纜的電流Ic1相同。
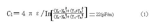
將上述的數據代入Thevenin’s等式計算出導線與ADSS間的電容C1及ADSS對地電容C2,見圖1:

在潮濕和污穢條件下,測量得到的抗電腐蝕護套ADSS光纜線性電阻值為R=9.9×106≈107[Ω∕m],與其對應的阻抗為:

其中:ω=2πf;f=60(Hz)
電弧活動長度為:ζ={2/[ωR(C1+ C2)] }1/2=4.02(m)
在實際線路上,電場情況為間接耦合電容。ADSS電阻Rdx與ADSS對地電容C2dx為并聯關系(對地電勢差相同),ADSS上的接地漏電電流I1等于流過電容C1上的電流Ic1與電容C2上的電流Ic2的差。因此,Rdx產生的阻抗Zequiv與容抗
1/ωC2dx并聯后再與容抗1/ωC1dx串聯。
I1=IC1+ IC2 (4)
取微分: dI1=jwC1dx(VS-V)-jwC2dxV (5)
最終得到: dI1=jwC1V1VSdx-jw(C1+C2)Vdx (6)
dV=-I1Rdx (7)
當R趨近于無窮大時,式(6)就成為:
I=0→C1VS=(C1+C2)V0 (8)
當R趨近于無窮大時,式(7)就成為:
V=0→dI1=jwC1VSdx (9)
應用極限條件和雙曲線函數,距離等于“電弧活動長度”х=ζ,及
時間常數R(C1+C2)X2/2等于三相頻率的倒數1/ω,即接地漏電電流為:

從上面的計算可知:VS,V分別為導線上和光纜表面的電壓。在線路的某一個檔距上,光纜表面各點對接地金具懸掛點的遠近不同,距懸掛點遠的充電時間常數大(充電時間常數為R(C1+C2)X2/2),充電電流就小。放電時,遠處放電時間長于交流電源極性反轉的間隔時間。所以,擋距中央雖然感應電壓很高,而光纜表面卻無接地漏電流流過。但是,接近接地懸掛點附近接地漏電流最大。光纜污穢電阻大小也有影響,電阻越高,沿光纜表面的電位梯度和接地漏電流在懸掛點附近上升或下降越快,也就是說在懸掛點附近干帶電弧的活動越劇烈。這就是為什么報導護套損壞大部分在懸掛點附近發生的緣故。另外通過式(10)可知:影響I的重要參數是干帶電弧上的電壓和濕污穢光纜表面的電阻。它們與線路類型、污穢程度、光纜安裝位置、線路相位排列及幾何尺寸布置相關。造成護套損壞的穩定干帶電弧最可能發生在線路感應電壓高或感應電壓中等的地方。接地漏電電流I與檔距長度無關。
3 ADSS光纜掛點分析
由于ADSS光纜是利用現有架空輸電線路架設,故必須在桿塔上選擇合適的掛點,這就和電壓、塔型、導線結構有關系。桿塔周圍的電場場強分布分析圖一般可利用場強分布分析軟件來進行計算得出,對于110kV以上的線路安裝ADSS光纜,該分析計算顯得更為重要,可用它的分析結果來直接指導選取光纜在桿塔上的最佳安全掛點,目前該類軟件中已有1024點的精度分析軟件出現。但僅擁有電場場強分布分析軟件是遠遠不夠的,還必須正確、合理地來運用好該軟件程序才行,在實際場強分析過程中,應充分考慮影響場強分布的因素,例如:桿塔結構、絕緣子長度、金具尺寸、相線截面、環境污穢等級等,以提高軟件計算分析結果的精度。對于多回路線路場合,還必須考慮各回路相線相序排列不同對周圍場強分布的影響,考慮到其中有某些回路停電情況下的場強分布變化情況等。例如,對于雙回路同桿并架(并排架設)線路,可以通過倒換相序的排列方法得到低的感應電壓在桿塔上的位置。一般設計、安裝ADSS光纜取10% Uφ(Uφ-導線的相線對地線電壓)作為光纜護套上感應電壓的數值。然而,實際線路桿塔形狀,尺寸都不相同,也不一定都是并排的雙回路。我國已有的線路大部分是水平單回路排列,這些線路在鐵塔中間不易找到10% Uφ的感應電壓空間,那么只好在線路其它地方去找。這是一種靜止的觀點,光纜能夠保持這種位置關系的,也僅在距塔頭兩側不太遠的一段范圍內,例如50~100米。其它地方的光纜和架空導線之間的關系都處在一種變化當中。這種變化,有的尚能保持掛點附近的場強關系,即光纜仍處于其所能承受的安全場強區域內,而相當一部分在線路檔距中央附近的光纜和導線的相對關系已發生了很大變化。導線周圍的場強是沿導線軸線連續分布的,由于在選擇塔頭掛點時對這一情況估計不足,致使光纜實際上長期處于超電場強度范圍內運行。處于高電場下的ADSS光纜由于材料劣化而引發光纜最終損壞的報道已不鮮見。產生這一情況的根本原因,是由于處在同一塔上的光纜和導線其弧垂特性的差異所引起的。ADSS光纜主要為人工合成材料,而其中紡綸的存在和它所具有的特性對ADSS光纜的物理參數產生重大影響。紡綸是一種很特殊的材料,強度很高,其破斷強度一般在170Kg左右,紡綸的彈性模量比銅小,但比鋁和鋁合金大,通常為115~120KN/mm2,在常溫條件下(通常指小于100℃時),它的膨脹系數為–2 x 10-6/℃。破斷伸長率接近3%。當紡綸和其它材料一起成纜以后,纜的彈性模量下降不少,而膨脹系數卻增加不多(有的甚至接近為零)。概括起來說。由ADSS光纜的力學特性所決定的弧垂狀態對外負載變化的響應比較敏感,而對溫度變化的響應比較遲鈍。這恰恰和金屬導體絞合而成的架空導線所具有的對外負載變化比較遲鈍而對溫度變化比較敏感的特性正好相反。其根本的原因,除了相對較小的彈性模量和膨脹系數,是外負載的單位比重通常為光纜自重的1~3倍。這種差異性使ADSS光纜和架空導線的弧垂在面臨外負載和溫度變化時,不可能同步響應。以架設于220KV線路上的光纜為例,討論兩者之間比載和弧垂的變化。導線為LGJ—400/35。見下表2:
表2:導線與ADSS光纜的比載和弧垂
|
線別
狀態 |
ADSS光纜 |
導線LGJ—400/35 |
|
比載(x10-3) |
弧垂(M) |
比載(x10-3) |
弧垂(M) |
|
覆冰C=5mm |
28.055 |
6.01 |
41.969 |
10.73 |
|
覆冰C=10mm |
50.574 |
9.54 |
55.709 |
11.50 |
|
大風V=25m/s |
33.986 |
7.05 |
38.446 |
10.51 |
|
低溫-20℃ |
11.174 |
2.53 |
31.110 |
9.29 |
|
年平均氣溫10℃ |
11.174 |
2.64 |
31.110 |
10.72 |
|
最高氣溫+40℃ |
11.174 |
2.75 |
31.110 |
12.08 |
一般架空導線的掛力重量比在8以下(特別設計的也可選取15~17),而ADSS光纜普遍在20以上,達到30至40也并非難事,這是架空導線所望塵莫及的。對上述數據作一簡單的分析,就不難發現,當覆冰由零到5mm直至10mm時,導線的比載分別為31.11、41.969和55.709,增幅非常有限。而ADSS的比載則由11.174增至為28.055和50.574,相應的弧垂由2.64米增至6.01和9.54米,增幅達127%和261%。再來看一下溫度變化的影響,當溫度由–20℃到40℃時,導線的弧垂由9.29米到12.08米,增加2.79米,增幅達30%,而ADSS光纜的弧垂則由2.53米變為2.75米,僅增加0.02米,約為8.7%。
這種對溫度和負載變化的響應巨大差異在提醒我們,如果你的ADSS光纜是掛在塔頭上部(一般為地線和導線之間),就應該對負載(指風、覆冰等)情況下兩者之間的弧垂變化予以關注;如果你的掛點選擇在塔頭下部(一般為導線的下方),那么你就應該對高溫情況下兩者之間的弧垂變化予以關注。由于場強對光纜護套材料的電腐蝕作用具有累積效應,短時和數次影響并不足以使光纜護套受到明顯損傷,處于這一點,對由外負載變化(風、覆冰等)和高氣溫條件下兩者弧垂出現“錯位”,從考慮時間效應方面予以“通融”的話,但對表征全年平均運行水平的年平均運行應力,這一代表性工況條件下的弧垂狀況,確有需仔細分析。應對檔距中央,在年平均運行應力(EDS)的條件下,對ADSS光纜和輸電線路導線這兩者弧垂的相對位置有清楚的認識。因為在全年絕大部分時間內,兩者的弧垂相對位置與此相當。如果此處的場強已超出光纜護套的耐受范圍,則就可以判定光纜掛點的選擇是不合適的;若掛點已無改變的可能,則可根據光纜在年平均運行應力條件下實際所承受的場強,來選擇光纜外護套的抗電特性,使之符合運行的要求。
因此,在確定ADSS光纜的最終掛點時,塔頭處的場強計算和檔距中央的校核(在年平均氣溫條件下),是一個問題的兩個方面,不可偏廢,在實際操作時,要注意選擇導線在垂直方向的位置變化后,光纜仍能處在安全場強區的那些區域,只要把光纜的掛點布置在這些區域內,光纜的安全運行,就達到我們所期望的運行年限是有保證的。
4電腐蝕漏電實驗方法
能夠評價材料耐電腐蝕能力的試驗方法很多。目前大體上可以分成兩類:一類為國際上有關塑料耐電腐蝕試驗最早的公認權威標準試驗方法----日本的工業標準JIS-C3005。其試驗的原理如圖2所示。

這個標準是一種材料試驗方法,主要考核材料的耐電腐蝕特性。在試驗中,將4KV電壓施加到100mm的光纜護套的表面,在通電的條件下,將濃度為每升含2克鹽和1毫升硝酸纖維的溶液以霧狀物噴撒到試樣表面,鹽霧溶液的導電率約為3000μΩ/cm ,經100次噴霧后,若在材料表面未形成碳化的放電痕跡通道者可判為合格。
用通常含2.3%左右碳黑的防環境應力的聚乙烯護套材料做JIS-3005耐電腐蝕試驗都無法通過,平均失效的噴霧次數約為20-25次。由此可見該試驗方法還是比較苛刻和有效的。作為ADSS光纜外護套材料其唯一的電性能試驗就是要能通過耐電腐蝕試驗。
另一類耐電腐蝕試驗為浸涂耐電腐蝕試驗法。其試驗的原理如圖3所示。
在該試驗方法中四根被試光纜是以相隔呈直角排列狀放置在試驗輪上,每根光纜試樣均被固定在玻璃鋼的底板上,以便獲得足夠的剛度,試樣內端可靠接地,外端則包上銅帶以便于施加電壓。

浸涂槽內配置有濃度為1.4±0.06G/L的食鹽溶液。當輪子位于180°時,第一根試樣浸入鹽溶液槽,而該根試樣處于270°位置時,則鹽溶液局部滴干,當試樣轉到0°位置則施加交流電壓持續時間15秒。在這段15秒的間隔時間內試樣表面會形成強烈的閃絡現象。在90°位置時,試樣在表面放電后冷卻準備再次浸入鹽溶液槽。
該浸涂試驗要求試樣能夠經受起10000次循環(即40000個加壓放電周期)而不損壞,平均每個試樣都要承受10000次閃絡的考驗。
為了防止由于電腐蝕而破壞護套的完整性,ADSS光纜用于敷設在電場分布中其空間電勢大于12KV的場合時必需選用抗電腐蝕專用材料,并要求光纜能通過IEEE-P1222標準附錄A中的耐電腐蝕試驗,以上的試驗方法基本上是絕緣材料的耐電痕試驗方法。一般使用小尺寸試驗來進行材料的配方研究或改進,不必一定做成光纜。鹽霧試驗是了解護套材料在干帶電弧下壽命的主要試驗方法,過去,由于對光纜護套加速老化的機理認識不足,一些鹽霧試驗結果也出現些難以解釋的現象。例如,在Brighton絕緣子試驗站的試驗表明,當試驗電源變壓器直接接被試樣時,大的電弧電流不引起光纜護套的損壞 ,反而小的電弧電流約1mA左右,在電源通過電容耦合接到試樣上時,卻引起了護套的損壞,試驗中大部分護套損壞都發生在低于mA水平。這就是說,護套的電腐蝕不能簡單的像合成絕緣子耐電痕試驗那樣,用大電流來加速老化。
5 ADSS光纜高壓試驗
在220KV輸電線路上敷設某種型號ADSS光纜的工程中,在保證各項安全距離要求的前提下,輸電線路不停電加掛光纜。其中一盤ADSS光纜,在已完成了光纜牽引放線,準備下一道工序,由于天色已晚,便放到第二天繼續施工,在第二天安裝光纜金具的過程中,發現光纜所感應的電壓通過掛在塔上的滑輪對地放電,使光纜外護套表面破損,裂開了一個寬約5mm,長約30mm的縫,紡綸絲完全外露,并有類似高溫灼熱以后所呈現的黑痕,部分已經斷裂,外護套裂縫四周的邊緣,也有類似高溫灼熱以后所呈現的黑痕,表面融化變形,凹凸不平。
出現上述情況后,對現場使用的光纜進行了以下耐壓試驗。
1、 取500mm的光纜,在外護套兩端外表加壓,約在80KV時出現外護套被擊穿現象;
2、 取500mm的光纜,一端不剝開外表加壓,另一端剝開外護套至紡綸,并在紡綸上加壓,約在40KV時出現被擊穿現象;
3、 取500mm的光纜,兩端剝開外護套至紡綸,在紡綸兩端加壓,約至10KV時出現被擊穿現象;
4、 單獨對外護套、束管、油膏加壓至10KV,未出現被擊穿現象。
后來,會同高壓試驗部門的專家對該光纜作了進一步的試驗。
1、 直流電壓擊穿試驗;取光纜500mm,在兩端施加直流電壓直到擊穿,擊穿電壓為117KV,泄露電流為801μA,擊穿點看不到痕跡,光纜加壓部分也無發熱。
2、 工頻電壓擊穿試驗;施加電壓的光纜、長度及方式不變,改用工頻試驗電壓直到擊穿,擊穿電壓為44KV,光纜加壓部分明顯發熱。
3、 光纜外護套對紡綸的電壓試驗;取光纜1200mm,兩端剝開外護套至紡綸,光纜兩端的紡綸接地,光纜中部接高壓電極,當施加工頻試驗電壓至44KV時擊穿,擊穿點在高壓電極處,呈孔狀且溫度極高。
4、 測量光纜內部紡綸的電阻;取光纜1300mm,兩端剝開外護套至紡綸,在光纜兩端的紡綸施加44KV工頻試驗電壓,電流為40mA,由此推出其阻抗為0.8ΜΩ/m。
5、 對比試驗;用另一種型號的光纜,重復同樣的試驗,當施加工頻試驗電壓至44KV時,光纜未被擊穿,而且不發熱。
根據試驗的結果可知:第一種型號的ADSS光纜,在同一條件下,縱向阻抗、擊穿電壓明顯低于其他產品的光纜,溫升大大高于其他產品的光纜。因此,這種型號的ADSS光纜不適宜在輸電線路不停電的情況下施工。從而得出不是所有型號的ADSS光纜都適宜在輸電線路不停電的情況下施工。
6 結論
本文主要論述了電腐蝕的原理及形成的過程,并對ADSS光纜進行了高壓試驗。通過對計算接地漏電流公式的推導,可以得出檔距中央雖然感應電壓很高,而光纜表面卻無接地漏電流流過,但是,接近接地懸掛點附近接地漏電流最大。光纜污穢電阻大小也有影響,電阻越高,沿光纜表面的電位梯度和接地漏電流在懸掛點附近上升或下降越快,也就是說在懸掛點附近干帶電弧的活動越劇烈。從而找到了在現時ADSS光纜運行中經常出現在懸掛點附近護套損壞的原因;通過ADSS光纜高壓試驗的結果,可以得出不是所有型號的ADSS光纜都適宜在輸電線路不停電的情況下施工。通過對ADSS光纜掛點的分析,可以得出不能簡單地以系統電壓等級和/或離相導線的距離憑經驗確定光纜的安裝位置(常稱為“掛點”),應根據每一塔型的具體情況計算掛點的空間電位。ADSS光纜在廣東電網已應用多年,盡管屢有ADSS光纜電腐蝕故障發生,但大量的實踐已證明,ADSS光纜在110KV系統中可以繼續推廣使用,用于220KV系統的ADSS光纜在充分確保ADSS光纜質量的前提下,規范工程設計、施工和運行條件,ADSS光纜的電腐蝕是可以控制的。也是可以繼續推廣使用的。
作者簡介:蔡毅,男,1961年出生,工程碩士,工程師,一直從事電力通信工作。
|